• hxonews.gr
  • Ακούστε ζωντανά
Hxo news
  • WEB TV
  • Λασίθι  
    • Ιεράπετρα
    • Σητεία
    • Άγιος Νικόλαος
    ΙΕΡΑΠΕΤΡΑ
    ΙΕΡΑΠΕΤΡΑ, ΑΙΤΗΣΕΙΣ, ΠΕΙΡΑΜΑΤΙΚΑ ΣΧΟΛΕΙΑ

    Ξεκίνησαν οι αιτήσεις για εισαγωγή στα Πειραματικά Σχολεία

    02:06 μ.μ. - 13/03/2026
    ΙΕΡΑΠΕΤΡΑ
    ΙΕΡΑΠΕΤΡΑ, ΓΑΛΛΙΑ , 1Ο ΓΥΜΝΑΣΙΟ , ERASMUS, ΤΕΧΝΗΤΗ ΝΟΗΜΟΣΥΝΗ

    Μαθητές του 1ου Γυμνασίου Ιεράπετρας στη Γαλλία μέσω Erasmus+ για την κλιματική αλλαγή και την Τεχνητή Νοημοσύνη

    01:57 μ.μ. - 13/03/2026
    ΙΕΡΑΠΕΤΡΑ
    ΚΡΗΤΗ, ΝΕΡΟ, ΟΑΚ, ΧΑΤΖΗΔΑΚΗΣ, ΔΙΑΧΕΙΡΙΣΗ ΝΕΡΟΥ

    Κωστής Χατζηδάκης: Ολιστική διαχείριση του νερού στην Κρήτη – Εξετάζονται παρεμβάσεις για τις τιμές των ακτοπλοϊκών

    01:45 μ.μ. - 13/03/2026
    ΙΕΡΑΠΕΤΡΑ
    ΚΑΙΡΟΣ , ΚΟΥΦΑΚΗΣ, ΔΙΑΛΟΓΟΙ ΣΤΟΝ 21Ο ΑΙΩΝΑ, ΔΡΙΜΕΣ, ΓΕΡΟΝΤΗΣ

    Οι «Δρίμες» και η σοφία της φύσης: Ο Μιχάλης Γεροντής μιλά για την πανάρχαια πρόβλεψη του καιρού

    11:23 π.μ. - 13/03/2026
  • ΚΡΗΤΗ
  • Agro Νέα  
    • Τιμές
    ΙΕΡΑΠΕΤΡΑ
    ΚΡΗΤΗ, ΝΕΡΟ, ΟΑΚ, ΧΑΤΖΗΔΑΚΗΣ, ΔΙΑΧΕΙΡΙΣΗ ΝΕΡΟΥ

    Κωστής Χατζηδάκης: Ολιστική διαχείριση του νερού στην Κρήτη – Εξετάζονται παρεμβάσεις για τις τιμές των ακτοπλοϊκών

    01:45 μ.μ. - 13/03/2026
    ΙΕΡΑΠΕΤΡΑ
    ΚΑΙΡΟΣ , ΚΟΥΦΑΚΗΣ, ΔΙΑΛΟΓΟΙ ΣΤΟΝ 21Ο ΑΙΩΝΑ, ΔΡΙΜΕΣ, ΓΕΡΟΝΤΗΣ

    Οι «Δρίμες» και η σοφία της φύσης: Ο Μιχάλης Γεροντής μιλά για την πανάρχαια πρόβλεψη του καιρού

    11:23 π.μ. - 13/03/2026
    ΙΕΡΑΠΕΤΡΑ
    ΕΡΕΥΝΗΤΗΣ, ΤΟΕΒ ΙΕΡΑΠΕΤΡΑΣ, ΓΕΩΛΟΓΟΣ, ΑΓΩΓΙΜΟΤΗΤΑ ΝΕΡΟΥ, ΜΑΛΑΒΡΑ

    Καραλάκης :Έρχεται γεωλόγος για την αγωγιμότητα στη Μαλάβρα – Στο επίκεντρο το πρόβλημα του νερού στην Ιεράπετρα

    12:46 μ.μ. - 12/03/2026
    ΙΕΡΑΠΕΤΡΑ
    ΠΙΠΕΡΙΕΣ, ΠΥΡΓΙΩΤΑΚΗΣ, ΙΕΡΑΠΕΤΡΙΤΙΚΗ ΓΗ

    Μανώλης Πυργιωτάκης: Ο παραγωγός που άφησε τη φύση να δημιουργήσει μια νέα πιπεριά Φλωρίνης

    12:26 μ.μ. - 12/03/2026
  • ΕΝΟΤΗΤΕΣ  
    • Ιεραπετρίτικη Γη
    • Πίσω σελίδες
    • Καλημέρα Λασίθι
    • Όλα στη φόρα
    • Δίκοπη Ζωή
    • Ανοιχτοί Ορίζοντες
    • Διάλογοι στον 21ο αιώνα
    ΙΕΡΑΠΕΤΡΑ
    ΣΤΑΡΑΚΗ, ΗΓΕΣΙΑ, ΑΝΟΙΧΤΟΙ ΟΡΙΖΟΝΤΕΣ, COACHING, ΠΑΣΧΙΔΟΥ, ΑΝΘΡΩΠΟΚΕΝΤΡΙΚΗ ΠΡΟΣΕΓΓΙΣΗ

    Coaching και ηγεσία με ανθρωποκεντρική προσέγγιση – Συνέντευξη με την Άννα-Φωτεινή Πασχίδου

    09:21 π.μ. - 09/10/2025
    ΙΕΡΑΠΕΤΡΑ
    ΦΥΤΟΠΡΟΣΤΑΣΙΑ, ΔΕΛΗΜΠΑΛΤΑΔΑΚΗΣ, SYNGENTA HELLAS, ΙΕΡΑΠΕΤΡΙΤΙΚΗ ΓΗ

    Μ. Δελημπαλταδάκης: «Η ολοκληρωμένη φυτοπροστασία κλειδί για βιώσιμες καλλιέργειες»

    12:48 μ.μ. - 03/10/2025
    ΙΕΡΑΠΕΤΡΑ
    ΙΕΡΑΠΕΤΡΑ, ΣΤΑΡΑΚΗ, ΑΝΟΙΧΤΟΙ ΟΡΙΖΟΝΤΕΣ, COACHING

    "Ανοιχτοί Ορίζοντες" με την Ελένη Σταράκη: Γιατί κάποιοι εργαζόμενοί σας δεν βελτιώνονται όσο κι αν επιμένετε;

    12:48 μ.μ. - 01/10/2025
    ΙΕΡΑΠΕΤΡΑ
    ΠΡΕΜΙΕΡΑ, ΗΧΩ 99,8, ΙΕΡΑΠΕΤΡΙΤΙΚΗ ΓΗ

    "Ιεραπετρίτικη Γη" | Πρεμιέρα αύριο Πέμπτη για την αγροτική εκπομπή του Ηχώ 99,8 στις 11:00!

    12:23 μ.μ. - 01/10/2025
  • ΕΚΛΟΓΕΣ
  • ΑΓΓΕΛΙΕΣ
  • ΤΙΜΕΣ
  • 13 ℃
  • ΛΑΣΙΘΙ
    • ΙΕΡΑΠΕΤΡΑ
    • ΑΓΙΟΣ ΝΙΚΟΛΑΟΣ
    • ΣΗΤΕΙΑ
  • ΚΡΗΤΗ
  • AGROΝΕΑ
    • ΤΙΜΕΣ
  • ΕΝΟΤΗΤΕΣ
    • ΑΘΛΗΤΙΚΑ
    • ΠΟΛΙΤΙΚΗ
    • ΟΙΚΟΝΟΜΙΑ
    • ΚΟΙΝΩΝΙΑ
    • ΤΟΥΡΙΣΜΟΣ
  • ΑΠΟΨΕΙΣ
  • ΑΓΓΕΛΙΕΣ
  • CULTURE STORIES
  • WEB TV
  • ΕΚΛΟΓΕΣ 2019
  • ΕΚΛΟΓΕΣ 2023
  • ΕΚΠΟΜΠΕΣ
    • ΟΛΑ ΣΤΗ ΦΟΡΑ
    • ΔΙΚΟΠΗ ΖΩΗ
    • ΠΙΣΩ ΣΕΛΙΔΕΣ
    • ΙΕΡΑΠΕΤΡΙΤΙΚΗ ΓΗ
    • ΚΑΛΗΜΕΡΑ ΛΑΣΙΘΙ
    • ΑΝΟΙΧΤΟΙ ΟΡΙΖΟΝΤΕΣ
    • ΔΙΑΛΟΓΟΙ ΣΤΟΝ 21Ο ΑΙΩΝΑ

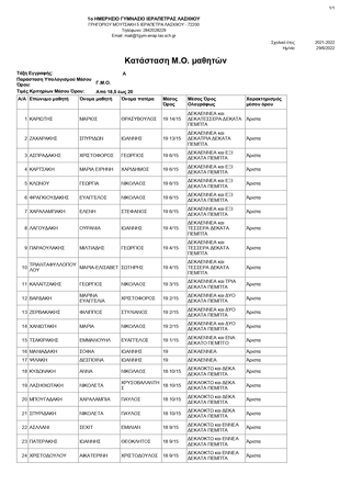
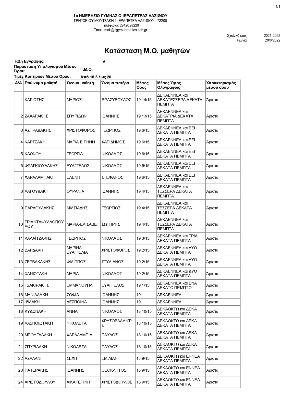
Οι αριστεύσαντες του 1ου Γυμνασίου Ιεράπετρας

ΛΑΣΙΘΙ
ΙΕΡΑΠΕΤΡΑ
12:04 μ.μ. - Τετάρτη 29 Ιουνίου 2022
12:06 μ.μ. - Τετ, 29/04/2022
ΙΕΡΑΠΕΤΡΑ, 1Ο ΓΥΜΝΑΣΙΟ , ΑΡΙΣΤΕΙΑ
Image: Οι αριστεύσαντες του 1ου Γυμνασίου Ιεράπετρας

Δείτε εδώ αναλυτικά τους πίνακες

hxonews
hxonews
hxonews
ΙΕΡΑΠΕΤΡΑ
02:06 μ.μ. - 13/03/2026

Ξεκίνησαν οι αιτήσεις για εισαγωγή στα Πειραματικά Σχολεία

ΙΕΡΑΠΕΤΡΑ, ΑΙΤΗΣΕΙΣ, ΠΕΙΡΑΜΑΤΙΚΑ ΣΧΟΛΕΙΑ

Έως τις 26 Μαρτίου η ηλεκτρονική υποβολή μέσω της πλατφόρμας του Υπουργείου Παιδείας – Στις 24 Απριλίου η δημόσια κλήρωση για τα Πειραματικά Σχολεία.

ΙΕΡΑΠΕΤΡΑ
01:57 μ.μ. - 13/03/2026

Μαθητές του 1ου Γυμνασίου Ιεράπετρας στη Γαλλία μέσω Erasmus+ για την κλιματική αλλαγή και την Τεχνητή Νοημοσύνη

ΙΕΡΑΠΕΤΡΑ, ΓΑΛΛΙΑ , 1Ο ΓΥΜΝΑΣΙΟ , ERASMUS, ΤΕΧΝΗΤΗ ΝΟΗΜΟΣΥΝΗ

Εκπαιδευτική εμπειρία στη Chartres και το Παρίσι με δράσεις περιβαλλοντικής ευαισθητοποίησης, συνεργασία με Γάλλους μαθητές και αξιοποίηση εργαλείων τεχνητής νο...

ΙΕΡΑΠΕΤΡΑ
01:45 μ.μ. - 13/03/2026

Κωστής Χατζηδάκης: Ολιστική διαχείριση του νερού στην Κρήτη – Εξετάζονται παρεμβάσεις για τις τιμές των ακτοπλοϊκών

ΚΡΗΤΗ, ΝΕΡΟ, ΟΑΚ, ΧΑΤΖΗΔΑΚΗΣ, ΔΙΑΧΕΙΡΙΣΗ ΝΕΡΟΥ

Από το συνέδριο «Greece Talks» στις Γούβες, ο αντιπρόεδρος της κυβέρνησης τόνισε την ανάγκη κεντρικής διαχείρισης των υδάτινων πόρων με ρόλο του ΟΑΚ, μίλησε για...

ΙΕΡΑΠΕΤΡΑ
11:23 π.μ. - 13/03/2026

Οι «Δρίμες» και η σοφία της φύσης: Ο Μιχάλης Γεροντής μιλά για την πανάρχαια πρόβλεψη του καιρού

ΚΑΙΡΟΣ , ΚΟΥΦΑΚΗΣ, ΔΙΑΛΟΓΟΙ ΣΤΟΝ 21Ο ΑΙΩΝΑ, ΔΡΙΜΕΣ, ΓΕΡΟΝΤΗΣ

Καλεσμένος στους «Διαλόγους στον 21ο Αιώνα» με τον Μανόλη Κουφάκη, ο λαογράφος και συγγραφέας εξηγεί τη μέθοδο των Δριμών και πώς μέσα από τα σημάδια της φύσης ...

ΙΕΡΑΠΕΤΡΑ
10:22 π.μ. - 13/03/2026

Βραδιά αγάπης και αλληλεγγύης για τον μικρό Θεοδωρή στην Ιεράπετρα

ΙΕΡΑΠΕΤΡΑ, ΒΡΑΔΙΑ ΑΛΛΗΛΕΓΓΥΗΣ

Ο Σύλλογος Ιστός και ο Δήμος Ιεράπετρας καλούν την τοπική κοινωνία σε μια συγκινητική εκδήλωση στήριξης, όπου η μουσική γίνεται μήνυμα ελπίδας για τον μικρό Θεο...

ΙΕΡΑΠΕΤΡΑ
09:28 π.μ. - 13/03/2026

Ο Χάρης Μαμουλάκης στον Ηχώ 99,8: «Προβληματική η σύμβαση με τη Chevron – Ανοίγει παράθυρο αμφισβήτησης κυριαρχικών δικαιωμάτων»

ΚΡΗΤΗ, ΛΑΣΙΘΙ, ΒΟΥΛΗ, ΣΥΜΒΑΣΗ, ΜΑΜΟΥΛΑΚΗΣ, ΕΝΕΡΓΕΙΑΚΟΣ ΣΧΕΔΙΑΣΜΟΣ, CHEVRON

Ο βουλευτής Ηρακλείου του ΣΥΡΙΖΑ εκφράζει έντονες αντιρρήσεις για το άρθρο 30 της σύμβασης έρευνας υδρογονανθράκων, κάνοντας λόγο για πρωτοφανή διάταξη που επιτ...

Ο ΣΤΑΘΜΟΣ
  • Ηχώ FM 99.8
  • Αρχείο ειδήσεων
  • Πρόγραμμα
SOCIAL MEDIA
  • ΟΡΟΙ ΧΡΗΣΗΣ
  • ΠΟΛΙΤΙΚΗ ΑΠΟΡΡΗΤΟΥ
  • DESIGN & DEVELOPMENT by Greco.App